Modifikuotos gravitacijos teorijos iš Barrow hipotezės: kvantinė gravitacija

Autoriai:
(1) Ankit Anand, Fizikos katedra, Indijos technologijos institutas Madras, Čenajus 600 036, Indija;
(2) Ruben Campos Delgado, Bethe teorinės fizikos centras, Physikalisches Institut der Universit¨at Bonn, Nussallee 12, 53115 Bona, Vokietija.
Nuorodų lentelė
Santrauka ir 1 Įvadas
2 Modifikuotos Einšteino lygtys su Jacobsono metodu
3 Kvantinės gravitacinės Schwarzschildo metrikos pataisos
4 Išvados ir literatūros sąrašas
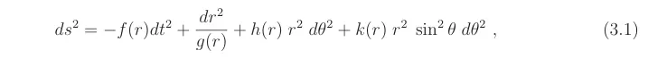
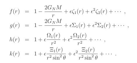
3 Kvantinės gravitacinės Schwarzschildo metrikos pataisos
Norėdami išspręsti (2.9), pradedame nuo Ansatz
kur
Ricci skaliaras turi struktūrą
I atvejis
Mes lyginame savo sprendimus su Xiao ir Tian sprendimais [32]kuris skaito
Su visais šiais terminais galutinė metrikos išraiška yra
kuris apibendrina rezultatą [32]. Pastebėkite, kad koeficientai (3.14) formaliai skiriasi, bet sprendiniai (3.15)-(3.17) yra baigtiniai.
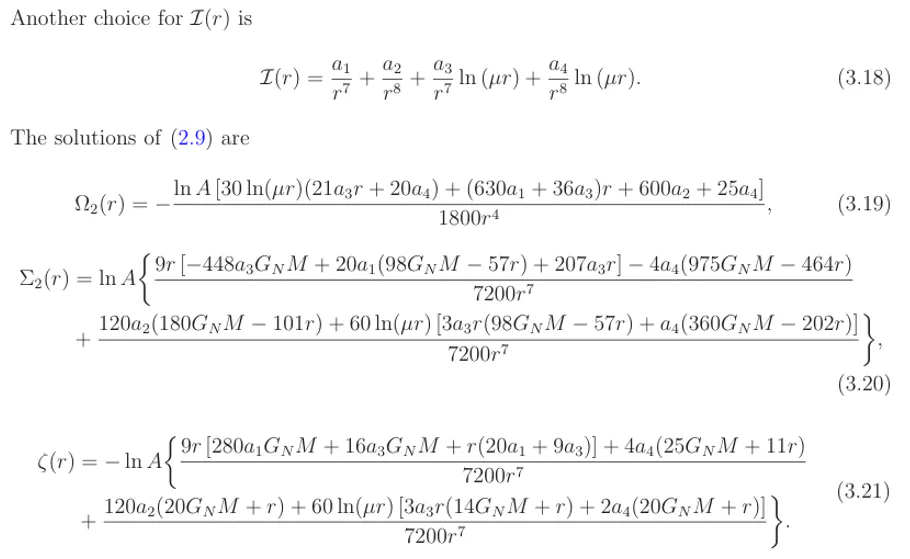
II atvejis
Dabar lyginame savo sprendimus su Calmet ir Kuipers sprendimais, [22]kuris skaito
Su visais šiais terminais galutinė metrikos išraiška yra
tai apibendrina rezultatą [22]. Vėlgi, atkreipkite dėmesį, kad koeficientai (3.23) formaliai skiriasi, bet sprendiniai (3.24)-(3.26) yra baigtiniai.









