Skaliaro gradiento tyrinėjimas tamsiosios medžiagos greičio analizėje

Autoriai:
(1) Dorian WP Amaral, Rice universiteto Fizikos ir astronomijos katedra ir šie autoriai maždaug vienodai prisidėjo prie šio darbo;
(2) Mudit Jain, Rice universiteto Fizikos ir astronomijos katedra, Teorinė dalelių fizika ir kosmologija, Londono King's College ir Šie autoriai maždaug vienodai prisidėjo prie šio darbo;
(3) Mustafa A. Amin, Rice universiteto Fizikos ir astronomijos katedra;
(4) Christopher Tunnell, Rice universiteto Fizikos ir astronomijos katedra.
Nuorodų lentelė
Santrauka ir 1 Įvadas
2 Stochastinės bangos vektoriaus tamsiosios medžiagos signalo apskaičiavimas
2.1 Tamsiųjų fotonų laukas
2.2 Detektoriaus signalas
3 Statistinė analizė ir 3.1 Signalo tikimybė
3.2 Numatomos išimtys
4 Taikymas akselerometro tyrimams
4.1 Apibendrintų ribų išdėstymas naujai į B–L tamsiąją medžiagą
5 ateities kryptys
6 Išvados, padėkos ir nuorodos
Išilginio ir skersinio režimų atskyrimas
B Ribinės tikimybės išvedimas naudojant stochastinio lauko amplitudę
C kovariacijos matrica
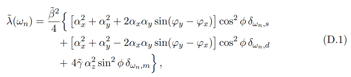
D Skaliaro gradiento atvejis
D Skaliaro gradiento atvejis
Šiuo atveju yra lengvatinė kryptis, nes ∇a nurodo vietinio DM greičio kryptį. Laboratorijos darbo koordinačių sistemos suderinimas taip, kad šis vietinis greičio vektorius būtų lygiagretus z ašiai, amplitudės susietos su trimis skirtingomis Eq kryptimis. (2.9) yra ne visi vienodi. Iš tikrųjų yra papildomas veiksnys, susijęs su z kryptimi, o atsitiktinis signalas dažnių erdvėje (plg. (2.9) lygtį) įgauna tokią formą
kur (ir pagal (45) žymą)
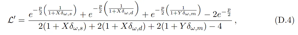
Elgiantis panašiai kaip B priede, marginalizuota tikimybė yra
kurią galime įvertinti atlikdami taip pat, kaip B priede; ty iš naujo apibrėžiant kintamuosius, kad jie taptų nepriklausomi, o integralas taptų analitiškai stebimas. Atvykstame į šiuos dalykus:
kur




