Paprastas De Rham kohomologijos ir jos matematinių pritaikymų vadovas

Autorius:
(1) Davidas Stainesas.
Nuorodų lentelė
Abstraktus
1 Įvadas
2 matematiniai argumentai
3 Metmenys ir peržiūra
4 Calvo sistema ir 4.1 namų ūkio problema
4.2 Parinktys
4.3 Namų ūkio pusiausvyros sąlygos
4.4 Kainos nustatymo problema
4.5 Nominaliosios pusiausvyros sąlygos
4.6 Tikrosios pusiausvyros sąlygos ir 4.7 Sukrėtimai
4.8 Rekursinė pusiausvyra
5 Esami sprendimai
5.1 Vienaskaitos Phillipso kreivė
5.2 Atkaklumo ir politikos galvosūkiai
5.3 Du palyginamieji modeliai
5.4 Lucas Kritika
6 Stochastinė pusiausvyra ir 6.1 Ergodinė teorija ir atsitiktinės dinaminės sistemos
6.2 Pusiausvyros konstrukcija
6.3 Literatūros palyginimas
6.4 Pusiausvyros analizė
7 Bendroji tiesinė Filipso kreivė
7.1 Nuolydžio koeficientai
7.2 Klaidos koeficientai
8 egzistavimo rezultatai ir 8.1 pagrindiniai rezultatai
8.2 Pagrindiniai įrodymai
8.3 Diskusija
9 Bifurkacijos analizė
9.1 Analitiniai aspektai
9.2 Algebriniai aspektai (I) Singuliarumai ir aprėptys
9.3 Algebriniai aspektai (II) Homologija
9.4 Algebrinių aspektų (III) schemos
9.5 Platesni ekonominiai aiškinimai
10 Ekonometrinės ir teorinės pasekmės ir 10.1 Identifikavimas ir kompromisai
10.2 Ekonometrinis dvilypumas
10.3 Koeficiento savybės
10.4 Mikroekonominis aiškinimas
11 Politikos taisyklė
12 Išvados ir literatūros sąrašas
Priedai
2 teoremos ir A.1 (i) dalies įrodymas
A.2 ∆ elgesys
A.3 Įrodymas (iii)
B Įrodymai iš 4 skilties ir B.1 Atskiros produkto paklausos (4.2)
B.2 Lanksčios kainos pusiausvyra ir ZINSS (4.4)
B.3 Kainų dispersija (4.5)
B.4 Išlaidų mažinimas (4.6) ir (10.4)
B.5 Konsolidavimas (4.8)
C Įrodymai iš 5 skyriaus ir C.1 Galvosūkiai, politika ir atkaklumas
C.2 Neištverti
D Stochastinė pusiausvyra ir D.1 Nestochastinė pusiausvyra
D.2 Pelnas ir ilgalaikis augimas
E nuolydžiai ir savosios reikšmės bei E.1 nuolydžio koeficientai
E.2 Linearizuotas DSGE sprendimas
E.3 Savas vertės sąlygos
E.4 Rouche'o teoremos sąlygos
F abstrakčioji algebra ir F.1 homologijos grupės
F.2 Pagrindinės kategorijos
F.3 De Rham kohomologija
F.4 Ribiniai kaštai ir infliacija
G Kiti Keinso modeliai ir G.1 Taylor kainodara
G.2 Calvo Wage Phillips kreivė
G.3 Netradiciniai politikos nustatymai
H Empirinis tvirtumas ir H.1 parametrų pasirinkimas
H.2 Phillipso kreivė
I Papildomi įrodymai ir I.1 Kiti struktūriniai parametrai
I.2 Lucas Kritika
I.3 Infliacijos nepastovumo tendencija
F.3 De Rham kohomologija
Šia paskutine matematine strofa siekiama paaiškinti tiesinės aproksimacijos galią bendriausioje aplinkoje, siekiant pateisinti pagrindinius teksto rezultatus. Tai apima linijavimo žingsnį iš (3)-(5) ir 1 skilimo, būdingą Calvo, ir bendrą bifurkacijos rezultatą 7 teorema. Pirmajame poskyryje pateikiamos diferencialinės topologijos ir kohomologijos preliminarios nuostatos. Antrasis nurodo pagrindinį rezultatą. Geriausias vadovėlis čia tikriausiai yra Tu (2011); kai kuriems skaitytojams gali būti naudingas neoficialus Stone and Goldbart (2009) pristatymas.
F.3.1 Parengiamieji darbai
žymėti domenų sankirtą
ir jo žemėlapis pagal dvi diagramas susietas su dviem vaizdais
Iš to išplaukia, kad perėjimo tarp dviejų diagramų žemėlapis yra žemėlapis tarp dviejų šios sankryžos vaizdų po dviem diagramų žemėlapiais.
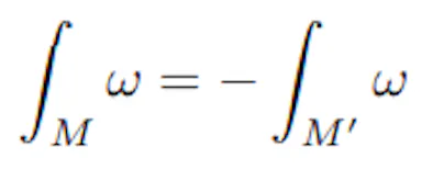
A Diferencialinė forma yra nuo koordinačių nepriklausomas požiūris į skaičiavimą. Jo šaknys yra fizikoje (žr. Stone ir Goldbart (2009)). Jis skiriasi nuo požiūrio į integravimą likusioje darbo dalyje, nes jis priklauso nuo orientacijos, todėl integralai gali būti nuliniai arba neigiami nulinių funkcijų atveju. Apskritai, diferencialinei formai ω, integruotai per kolektorių M ir tą patį kolektorių, bet su priešinga orientacija M′, tada
K forma yra objektas, kuris gali būti integruotas per ak matmenų orientuotą kolektorių ir yra vienalytis k laipsnio koordinačių skirtumuose.
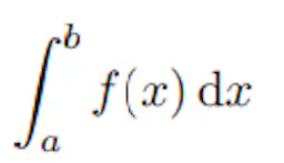
Viena forma gali būti integruota per orientuotą intervalą (a, b) f srityje:
Panašiai ir išraiška
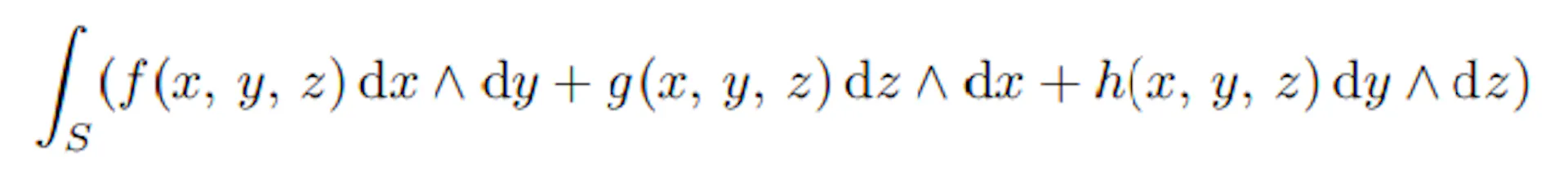
f(x, y, z) dx ∧ dy + g(x, y, z) dz ∧ dx + h(x, y, z) dy ∧ dz
yra 2 forma, turinti šį integralą per orientuotą paviršių S
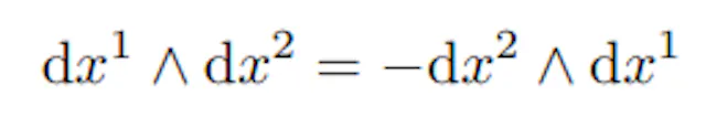
taip pat 3 formų f(x, y, z) dx∧dy∧dz vadinamas tūriniu elementu, integruotu per orientuotą trimatės erdvės sritį. ∧ vadinamas pleištu arba Išorinis gaminys. Tai yra kintamasis produktas ta prasme
Išorinis išvestinis operatorius d siunčia k formų k+1 formoms, todėl perimetrai eina į plotus, paviršiaus plotai – į uždarus tūrius ir tt (120) Apibendrinta Stokso teorema teigia, kad diferencialinės formos integralas ω virš kurio nors orientuojamo kolektoriaus ribos Ω yra lygus jo išorinės išvestinės integralui.
Tai reiškia, kad sferos tūris yra lygus apskritimą dengiančių rutulių šeimos paviršiaus plotui, nes jų skersmenys tampa savavališkai maži. Apskritai, integralą per k + 1- formą galime savavališkai gerai aproksimuoti, sumuodami per jo k formos ribą. Tai yra gilus pagrindinės skaičiavimo teoremos išplėtimas.
Galiausiai, grįžtant prie algebrinės topologijos, būtina įvesti Kohomologija apskritai, konkrečiai Vienaskaitos kohomologija. Kohomologija yra dviguba homologijos konstrukcija. Jis kyla iš Cochainskurios yra funkcijos, apibrėžtos homologijos teorijos grandinių grupėje.
Kohomologija vystosi iš funkcijų geometrijos ir jų atsitraukimų. Paėmus du tarpus X ir Y ir funkciją F ant Y , bet koks atvaizdavimas f : X → Y sukels kitą F ◦f, vadinamą F atsitraukimu ant X pagal f. Paprastai domina ryšys tarp funkcijų tęstinumo ir diferencijavimo savybių. Pirmaujančios kohomologijos teorijos turi produktą, vadinamą taurės gaminiu, kuris suteikia jiems žiedo struktūrą. Dėl šios priežasties kohomologija gali pateikti turtingesnius algebrinius invariantus.
Vienaskaitos kohomologija yra galingas topologinis invariantas, susiejantis laipsnišką komutacinį žiedą su bet kokia topologine erdve.121 1 skaidymas parodo šią struktūrą. Kiekvienas ištisinis žemėlapis f : X → Y sukuria homomorfizmą nuo Y kohomologijos žiedo iki X; tai nustato griežtus žemėlapių veikimo apribojimus tarp dviejų erdvių.
Daugelis kohomologijos savybių yra tik nedideli homologijos variantai:
• Du homotopiniai žemėlapiai nuo X iki Y sukelia tokį patį kohomologijos homomorfizmą (kaip ir homologijoje).
• Jei erdvė X yra atvirų poaibių U ir V sąjunga, tai yra ilga tiksli seka
Neoficialiai šios savybės leidžia kohomologijos skaičiavimus suskirstyti pagal tinkamas pertvaras.
Kita vertus, kohomologija turi ypatingą struktūrą, kurios homologijoje nėra. Bet kuriai topologinei erdvei X ir komutaciniam žiedui R yra bilinear123 žemėlapis, vadinamas taurės produktu.
F.3.2 Formalizavimas ir taikymas
De Rham kohomologija yra metodas, būdingas tiek algebrinei, tiek diferencinei topologijai. Tai galingas įrankis, galintis išreikšti pagrindinę topologinę informaciją apie lygiuosius kolektorius, todėl lengva apskaičiuoti konkrečius kohomologijos klasių vaizdus. Tai kohomologijos teorija, pagrįsta diferencialinių formų elgesiu.
Pagrindinis skirtumas yra tarp tikslių ir uždarų formų. Čia tiksli forma yra diferencialinė forma α, tai yra kitos diferencinės formos β išorinė darinys, o uždara forma yra diferencinė forma α, kurios išorinė išvestinė yra nulis (dα = 0). Taigi tiksli forma yra d vaizdas, o uždara forma yra d branduolys. Kiekviena tiksli forma yra uždara, tačiau uždaroji forma nebūtinai turi būti tiksli. (125) Puankarės lema užtikrina, kad ji galioja susitraukiančioms erdvėms. Tačiau yra esminis ryšys tarp tikslumo ir skylių egzistavimo. Šiuo požiūriu De Rhamo kohomologija matuoja, kaip pagrindinė skaičiavimo teorema (126) neveikia bendruosiuose aukštesnių dimensijų kolektoriuose.
De Rham kompleksas yra diferencialinių formų grandinės kompleksas ant lygaus kolektoriaus M, kurio išorė yra diferencialas:
Išorinis gaminys tiesioginei grupių sumai suteikia žiedo struktūrą. Dar viena teoremos pasekmė yra ta, kad du kohomologijos žiedai yra izomorfiniai, kai jie laikomi suskirstytais žiedais, kur analogiškas vienaskaitos kohomologijos produktas yra taurės produktas.
Pagaliau prieiname prie programos, mūsų pagrindinio modelio kohomologijos skaičiavimo.
32 teiginys. Calvo Phillips kreivės modelis turi tokius De Rham kohomologijos vaizdus
Kartu su 9 teorema tai formaliai pateisina tiesinių aproksimacijų (3)–5) naudojimą, kad būtų parodytas neįpareigojantis suvaržymas atstovaujančiajai įmonei arba socialiniam planuotojui.

























